嗨! 您好,欢迎来到哈尔滨凯美斯科技有限公司!
登录
注册
找试剂
找耗材/设备
搜索
全部分类
高端化学
分析科学
生命科学
材料科学
玻璃仪器
常规耗材
仪器设备
试剂类
反应釜
橡胶制品
有机砌块
卤代烃
胺
苯酚
酮
酰卤
羧酸
醛
硝基和亚硝基化合物
酯
肼
有机磷/膦配体
胺盐
异氰酸酯
醇
单硫醚/硫醚
氨基醇
硫醇类/巯基化合物
烯烃
芳烃
氰化物/腈
肟
醚
缩醛/缩酮/原酸酯
磺酸/亚磺酸盐
羧酸酐
脲
酰胺/酰胺化合物
胍
硫脲
磺酰卤化物
硫氰酸盐/异硫氰酸盐
炔烃
羧酸盐
烷烃
环氧化物
酰肼
硫代羰基化合物
亚胺/脒/二酰亚胺
磺胺类药物/亚磺酰胺
叠氮/偶氮/重氮化合物
砜/亚砜类
硒化合物
砷化合物
腙
特殊合成
合成
离子液体
氟合成
化学生物学
化学连接
氨基酸衍生物
非天然氨基酸衍生物
多肽合成
多肽耦合
氨基保护
碳水化合物合成
聚乙二醇化修饰
寡核苷酸合成
固相多肽合成
有机金属试剂
硼酸及其衍生物
有机硅
格氏试剂
有机铝
有机铜
有机锡
有机锂
有机锗
有机铅
有机锌试剂
有机汞
合成试剂
螯合/络合化合物
氧化
C-X键形成
路易斯酸
有机酸
无机酸
无机盐
有机碱
相转移催化剂
耦合
还原
保护和衍生
键形成
C-X键形成(无卤素)
无机碱
脱水试剂
特种气体
催化和无机化学
钡
锇
镉
钕
铂
锡
锶
钪
铒
铁
镧
锑
钇
铱
钯
硅
碲
锆
铌
无机磷
钴
镍
铅
铜
镝
铕
镁
钠
锰
镱
钙
铋
铽
铝
硼
铬
钌
镥
锂
钼
汞
钾
钆
锌
铑
其他配体
钨
镨
银
金
铈
铯
钐
钛
镓
钽
铪
钬
砷
铟
铍
锗
铷
铼
铥
钒
N-杂环化合物
卟啉
金催化
铊
硒
杂环砌块
其它杂环
吡啶
噻吩
吡喃
嘧啶
吲哚
吗啉
吡唑
吡咯
咪唑
恶二唑
噻唑
恶唑
三嗪
嘌呤
哌嗪
喹啉
异恶唑
异喹啉
三唑
香豆素
哌啶
吡嗪
呋喃
哒嗪
咔唑
哌啶酮
奎宁
喹恶啉
吲唑
吖啶
四氮唑
苯并恶嗪
喹唑啉
噻二唑
苯并二氧六环
噻嗪
不对称合成
手性砌块
拆分试剂
手性助剂
手性催化剂,配体和试剂
稳定性同位素
核磁共振溶剂和试剂
保护性氨基酸
农业
气体
生物核磁共振
糖
脂肪酸
氨基酸(同位素)
类固醇和激素
标记生物活性物
乙酰辅酶A衍生物
香精香料
合成香料
天然认证产品
精油
气相色谱
吸附剂
分析试剂
色谱溶剂/CE试剂
常用分析试剂
衍生化试剂
光谱
滴定
特定用途试剂
指示剂溶液
杀菌剂和防腐剂
树脂与LC分离介质
分子筛,活性碳,助滤剂
硅胶
分析标准品
农残、兽药及化肥类
农业和环境标准品
有机标准溶液
酚类化合物标准品
物理性质
食品和饮料标准品
无机单元素标准溶液
生命科学标准品
气相色谱标准品(色标)
挥发性有机化合物(VOCs)
仪器检定/校准
容量分析滴定液
中药标准品
法医和兽医标准品
滴定标准品
具体方法
化学类
临床标准品
熔点标准品
多环芳烃(PAHs)
化妆品标准品
核材料和放射性标准物质
认证用标准物质
空气检测标准品
高分子标准品
离子传感器材料
离子传感器用塑化剂
高压液相色谱
HPLC溶剂
溶剂
苯
四氢呋喃
正己烷
醋酸乙酯
正庚烷
甲醇
丙酮
乙醇
异丙醇
二甲基亚砜
二甲基甲酰胺
氯仿
乙腈
二氯甲烷
色谱耗材
生物预装柱
生物活性小分子
DNA损伤
神经信号
G蛋白偶联受体&G蛋白
血管生成
代谢
PI3K/Akt/mTOR
蛋白酪氨酸激酶
表观遗传学
细胞凋亡
JAK/STAT
蛋白酶
细胞周期
膜转运/离子通道
内分泌与激素
MAPK
微生物Microbiology
TGF-beta/Smad
细胞骨架信号
干细胞与Wnt信号
NF-kB
其他
癌症研究
化学预防物质
致癌物质
抗肿瘤剂
血管再生
肿瘤生长调节
生化试剂
多肽
生物缓冲液
荧光探针,标记,颗粒和染色
酶与辅酶
碳水化合物
核苷,核苷酸,寡核苷酸
抗生素
变性剂
氨基酸
脂类
发光化合物
去垢剂
微粒
酶抑制剂
酶底物
密度梯度
蛋白质和衍生物
赋形剂,仅用于研究
螯合剂
细胞生物学
细胞信号和神经生物学
植物生物技术
植物组织培养
营养学研究
植物生化提取物
维生素
代谢组学
代谢途径
分子生物学
分子生物学试剂
核酸电泳
细胞培养
试剂和补充物
抗体
补充产品
碳水化合物(糖类)
单糖
多糖
微生物学
培养基成分
蛋白组学
蛋白质结构分析
蛋白电泳
翻译后修饰
质谱
蛋白质定量
血液学和组织学
染色剂和染料
替代能源
电解质
储氢材料
金属和陶瓷科学
晶体级无机物
氧化物
硫属化合物
陶瓷
盐
合金
金属
碳基材料
生物材料
生物相容陶瓷
交联剂
微米/纳米电子材料
电子化学品
气相沉积前驱体
自组装和接触印刷
溶液沉积前驱体
电子材料
有机和印刷电子学
OLED和PLED材料
印刷电子
基质和电极材料
光子和光学材料
合成工具和试剂
升华材料
液晶
OFET和OPV材料
高分子科学
单体
聚乙二醇修饰剂
聚合引发剂
聚乙二醇和聚氧化乙烯
塑料添加剂
导电聚合物和单体
硅酮
疏水性高分子
亲水性高分子
工程塑料
天然高分子
纳米材料
碳纳米材料
纳米粒子:金属和金属陶瓷
纳米粉末和粒子分散液
表面功能化纳米粒子
纳米粒子:氧化物、氮化物和其他
倍半硅氧烷:POSS纳米杂化材料
树状大分子
烧器
量器
标准口蒸馏器皿
透析袋
塑料制品
陶瓷
玛瑙制品
润滑剂
磁力搅拌器
培养箱
振荡器
摇床
工作台
箱类
水槽
水浴油浴锅
炉
泵
真空泵
旋蒸
磁力搅拌器
氮吹仪
分散机
恒温金属浴
离心机
孵育器
漩涡混匀仪
低温冰箱
电器
电极材料
天平
首页
品牌中心
批量订购
促销品
当前位置:
首页
此分类下共有
722
条信息
169437-35-8
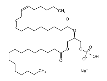
1-palmitoyl-2-oleoyl-sn-glycero-3-phosphate (sodium salt)
322647-59-6
1-palmitoyl-2-linoleoyl-sn-glycero-3-phosphate (sodium salt)
69441-09-4
1-palmitoyl-2-myristoyl-sn-glycero-3-phosphocholine
59403-51-9
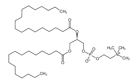
1-palmitoyl-2-stearoyl-sn-glycero-3-phosphocholine
26853-31-6
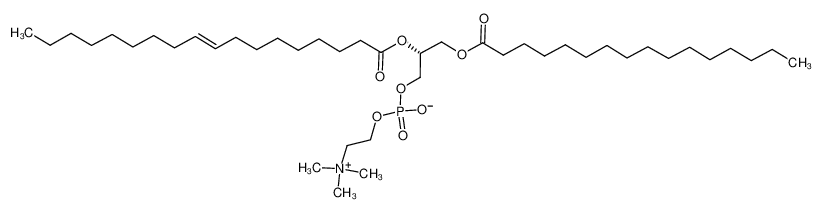
1-palmitoyl-2-oleoyl-sn-glycero-3-phosphocholine
159701-21-0
1-palmitoyl-2-linoleoyl-sn-glycero-3-phosphocholine
324054-50-4
1-palmitoyl-2-(6,7-dibromo)stearoyl-sn-glycero-3-phosphocholine
324054-52-6
1-palmitoyl-2-(9,10-dibromo)stearoyl-sn-glycero-3-phosphocholine
324054-54-8
1-palmitoyl-2-(11,12-dibromo)stearoyl-sn-glycero-3-phosphocholine
108273-89-8
1-pentadecanoyl-2-hydroxy-sn-glycero-3-phosphocholine
17364-16-8
1-Palmitoyl-sn-glycero-3-phosphocholine
53862-35-4
1-palmitoyl-2-hydroxy-sn-glycero-3-phosphoethanolamine
17618-08-5
1-palmitoyl-2-hydroxy-sn-glycero-3-phosphate (sodium salt)
799268-71-6
1-palmitoyl-sn-glycero-2,3-cyclic-phosphate (ammonium salt)
326495-22-1
1-palmitoyl-2-hydroxy-sn-glycero-3-phospho-(1'-rac-glycerol) (sodium salt)
143077-66-1
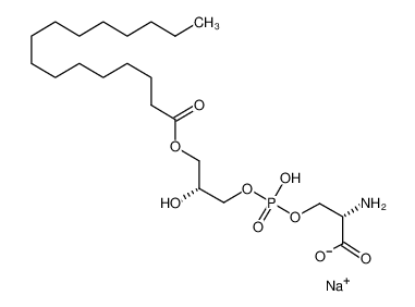
1-palmitoyl-2-hydroxy-sn-glycero-3-phospho-L-serine (sodium salt)
799812-61-6
1-palmitoyl-d31-2-oleoyl-sn-glycero-3-phosphoinositol (ammonium salt)
326495-44-7
1-palmitoyl-d31-2-oleoyl-sn-glycero-3-phosphoethanolamine
327178-87-0
1-palmitoyl-d31-2-oleoyl-sn-glycero-3-[phospho-rac-(1-glycerol)] (sodium salt)
179093-76-6
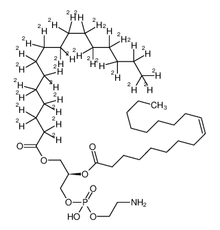
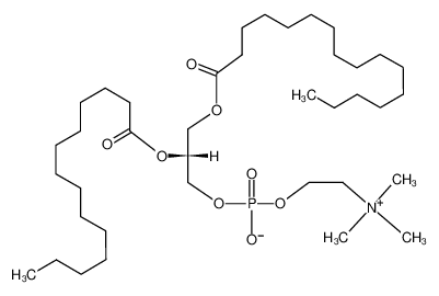
1-palmitoyl-d31-2-oleoyl-sn-glycero-3-phosphocholine
327178-96-1
1-palmitoyl-d31-2-oleoyl-sn-glycero-3-[phospho-L-serine] (sodium salt)
474943-59-4
1-palmitoyl-d31-2-oleoyl-sn-glycero-3-phosphate (sodium salt)
117746-89-1
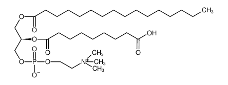
1-palmitoyl-2-azelaoyl-sn-glycero-3-phosphocholine
89947-79-5
1-palmitoyl-2-glutaryl-sn-glycero-3-phosphocholine
上一页
1
...
25
26
27
28
29
30
31
下一页
加载中...
×
用户登录
邮箱:
密码:
提交
没有账户?点此注册
忘记密码?